Diversity-oriented synthesis of macrocyclic scaffolds based on a quinine core
J Ciardiello, DR Spring
ABSTRACTS OF PAPERS OF THE AMERICAN CHEMICAL SOCIETY
(2014)
248
Aqeuous hydrosilylation: Application to site-selective protein modification
TT-L Kwan, EC Frye, MK Gupta, M Welch, JW Chin, DR Spring
ABSTRACTS OF PAPERS OF THE AMERICAN CHEMICAL SOCIETY
(2014)
248
Investigating peptide sequence variations for ‘double-click’ stapled p53 peptides
YH Lau, P de Andrade, N Sköld, GJ McKenzie, AR Venkitaraman, C Verma, DP Lane, DR Spring
Organic & Biomolecular Chemistry
(2014)
12
How diverse are diversity assessment methods? A comparative analysis and benchmarking of molecular descriptor space.
A Koutsoukas, S Paricharak, WRJD Galloway, DR Spring, AP Ijzerman, RC Glen, D Marcus, A Bender
J. Chem. Inf. Model.
(2013)
54
Virulence in Pectobacterium atrosepticum is regulated by a coincidence circuit involving quorum sensing and the stress alarmone, (p)ppGpp
SD Bowden, A Eyres, JCS Chung, RE Monson, A Thompson, GPC Salmond, DR Spring, M Welch
Molecular Microbiology
(2013)
90
Concise Copper-Catalyzed Synthesis of Tricyclic Biaryl Ether-Linked Aza-Heterocyclic Ring Systems
P Mestichelli, MJ Scott, WRJD Galloway, J Selwyn, JS Parker, DR Spring
Organic letters
(2013)
15
Combating multidrug-resistant bacteria: Current strategies for the discovery of novel antibacterials
KMG O'Connell, JT Hodgkinson, HF Sore, M Welch, GPC Salmond, DR Spring
Angewandte Chemie International Edition
(2013)
52
Chemical library screening approaches to aid the design of protein–protein inhibitors
G Zinzalla, L Laraia, DR Spring
(2013)
Chemical library screening approaches to aid the design of protein-protein inhibitors
L Laraia, DR Spring
(2013)
Virulence in Pectobacterium atrosepticum is regulated by a coincidence circuit involving quorum sensing and the stress alarmone, (p)ppGpp
SD Bowden, A Eyres, JCS Chung, RE Monson, A Thompson, GPC Salmond, DR Spring, M Welch
Mol Microbiol
(2013)
90
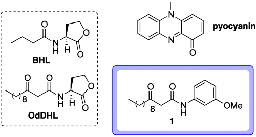
Design and synthesis of a biotinylated chemical probe for detecting the molecular targets of an inhibitor of the production of the Pseudomonas aeruginosa virulence factor pyocyanin
YR Baker, WRJD Galloway, JT Hodgkinson, DR Spring
Molecules (Basel, Switzerland)
(2013)
18
Surface swarming motility by Pectobacterium atrosepticum is a latent phenotype that requires O antigen and is regulated by quorum sensing
SD Bowden, N Hale, JCS Chung, JT Hodgkinson, DR Spring, M Welch
Microbiology (Reading, England)
(2013)
159
Combating multidrug-resistant bacteria: current strategies for the discovery of novel antibacterials.
KMG O'Connell, JT Hodgkinson, HF Sore, M Welch, GPC Salmond, DR Spring
Angew Chem Int Ed Engl
(2013)
52
A strategy for the diversity-oriented synthesis of macrocyclic scaffolds using multidimensional coupling.
HSG Beckmann, F Nie, CE Hagerman, H Johansson, YS Tan, D Wilcke, DR Spring
Nature chemistry
(2013)
5
The Basics of Diversity‐Oriented Synthesis
KMG O'Connell, WRJD Galloway, DR Spring
(2013)
Ligand binding kinetics of the quorum sensing regulator PqsR.
M Welch, JT Hodgkinson, J Gross, DR Spring, T Sams
Biochemistry
(2013)
52
A Lysosome-Targetable Fluorescent Probe for Imaging Hydrogen Sulfide in Living Cells
T Liu, Z Xu, DR Spring, J Cui
Organic Letters
(2013)
15
Mild and Efficient Synthesis of Benzo-Fused Seven- and Eight-membered Ring Lactams: A Convenient Approach to Biologically Interesting Chemotypes
JL Kenwright, WRJD Galloway, L Wortmann, DR Spring
Synthetic Communications
(2013)
43
Dynamic combinatorial chemistry with novel dithiol building blocks: Towards new structurally diverse and adaptive screening collections
D Spring, T Postma, W Galloway, F Cougnon, G Pantoş, J Stokes
Synlett
(2013)
24
Design, synthesis, and biological evaluation of Polo-box domain (PBD) phosphopeptidomimetics
JE Stokes, A Emery, B Hardwick, AJ Narvaez, E Alza, J Balmer, G McKenzie, DR Spring, A Venkitaraman
ABSTRACTS OF PAPERS OF THE AMERICAN CHEMICAL SOCIETY
(2013)
245