Assistant Director of Research

Our interests encompass a number of areas spanning conventional organic, biological and inorganic chemistry. In all our work, nuclear magnetic resonance (NMR) spectroscopy is used as the principal tool for the structural and dynamic characterisation of a diverse range of compounds.
Rational Design and Synthesis of Multimetal Supramolecular Systems (in collaboration with Prof. J.K.M. Sanders). Large and often complex molecules are prepared in order to mimic specific properties inherent in nature or of interest in the laboratory. Construction employs covalent and non-covalent linkages between building blocks - often using metal-ligand interactions (Zn, Ru, Ni, Sn). The first phase involves modelling the target molecules to ensure that they will exhibit the desired structural characteristics, which influence specific binding interactions. A typical system is shown on the right.

Spectroscopy at the Interface between the Solid and Solution State. One aspect of our interest involves characterisation and manipulation of molecules at the atomic level. Collaborative studies (Prof. M.E. Welland, Department of Engineering, and Dr Q. Guo, Department of Physics at Birmingham University) have allowed us to "see" single complex molecules on substrate surfaces using STM (a striking example of a porphyrin dimer is shown on the right) and AFM.
The second aspect involves synthesis and characterisation (by HR-MAS NMR) of molecules bound to solid supports which exhibit part solid/part liquid properties and can generate sensors and molecular switches (in collaboration with Prof. M. J. Gunter, Department of Chemistry, University of New England, Australia).
Small Molecule NMR Characterisation. The large arsenal of high resolution spectrometers in this department and our range of new state of the art probes (gradient, gel- phase, CryoProbe) have allowed us to deal with a diverse range of challenging organic and inorganic compounds.
Selected Publications
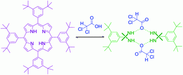
Synthesis and characterisation of carboxylate complexes of Sn(IV) porphyrin monomers and oligomers, Chem. Eur. J. 9 (21), 2003, 5211-5222.
A self-assembling polymer-bound rotaxane under thermodynamic control, Chem. Commun. , 2003, 1396-1397.
A strategy for the assembly of multiple porphyrin arrays based on the coordination chemistry of Ru-centered porphyrin pentamers, J. Org. Chem., 2001, 66, 4476-4486.
STM images of individual porphyrin molecules, Angew. Chemie Intl. Edn., 1999, 38, 2780.
Assembly of dynamic heterometallic oligoporphyrins using Zn-N, Ru-N and Sn-O coordination, J. Am. Chem. Soc., 1999, 121, 8121.
Publications
- Page 1